Orifice

Orifice

    Orifice

Library

HydraulicsByFluidon/Components/Resistors

Description

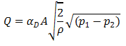
The component Orifice is a model of a sharp-edged fluid resistance with a - to a large extent - root-like relationship between the flow rate and the pressure difference pA - pB acting on the component. The flow rate is independent of the viscosity of the hydraulic fluid.

It is parameterized by the geometric parameters Diameter and Flow Coefficient alphaD.

The Orifice is suitable for modeling an orifice opening, if the ratio of its length l to its diameter d is comparatively small (approx. l/d < 1.5).

The density of the hydraulics fluid is considered.

Parameters

Orifice_0

NameLabelDescriptionData TypeValid Values

mo_diameter

diameter

Diameter

Scalar

mo_alphaD

alphaD

Flow coefficient alphaD

Scalar

mo_dp

dp

dp

Structure

mo_dp/fixed

fixed

Cell of scalars

true
false

mo_dp/start

start

Cell of scalars

Orifice_1

NameLabelDescriptionData TypeValid Values

mo_forwardFluidProperties

forwardFluidProperties

Forward fluid properties between ports

Scalar

true
false

Orifice_2

NameLabelDescriptionData TypeValid Values

mo__nmodifiers

Number of Modifiers

Specifies the number of modifiers

Number

mo__modifiers

Modifiers

Add new modifier

Structure

mo__modifiers/varname

Variable name

Cell of strings

'volumeFlowA'
'volumeFlowB'
'fluidId'
'coefficient'

mo__modifiers/attribute

Attribute

Cell of strings

'start'
'fixed'

mo__modifiers/value

Value

Ports

NameTypeDescriptionIO TypeNumber

fluidPortA

implicit

Hydraulic port A

input

1

fluidPortB

implicit

Hydraulic port B

input

2

See Also