Mechanical loss model settings

The definition of mechanical loss computation model is available only for some tests.



User inputs for defining the mechanical losses

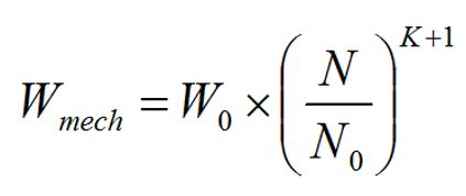
Mechanical loss model is considered as:



The following input parameters are needed:
  • “Ref. speed” (Reference speed) – N0
  • “Losses at ref. speed” (mechanical losses at reference speed) – W0
  • “Exponent” (Speed exponent) - k
  • Current speed “N” for which the mechanical losses “Wmech” must be computed