Passive components: resistor, inductor, capacitor

Introduction

The passive components are of three types:

  • the resistor
  • the coil
  • the capacitor

Utilization

The passive components are used in the Steady State AC Magnetic and the Magnetic Transient applications.

Characteristic

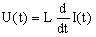
The current-voltage characteristic for each of these different components is mentioned again in the table below.

Component

Current-voltage

characteristic

Characteristic quantity Initial value
resistor R is the value of the resistance in (in Ω )
coil L is the value of the coil inductance (in H)

Initial current

I (t = 0)

capacitor C is the value of the capacitance (in F)

Initial voltage

U (t = 0)

where:

  • U(t) is the voltage at the terminals of the component (in V)
  • I(t) is the current flowing through the component (in A)