Superconductor: models with dependence on T

Power law with dependences on T

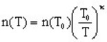
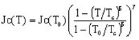
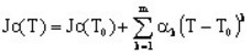
The critical current density Jc and the exponent n are the quantities that depend on the temperature T.

The general form of the previous function is thus the following one:

(3)

where:

  • Ec is the critical electric field [V/m]
  • Jc(T) is the dependence on T of the critical current density (see below)
  • n(T) is the dependence on T of the exponent (see below)
  • ρ0 is an additional resistivity [Ω .m]

The dependence on T of the quantities Jc and n can be expressed using different models as that is presented in the tables below.

Theoretical dependence
5 additional parameters: T0 Tc δ γ κ
Practical dependence
2 m +1 additional parameters: T0 and αk βk