Layer Definition

Advanced > Electronics > PCB > Layer Definition

Layer Definition

This tool is used to review and edit the layer properties of ECAD models.

Model

Select an ECAD model to review the layer properties.

Sub Model

This option allows to review the layer information of sub-models.

Note: In the case of a merged ECAD model (where two or more ECAD models are combined and categorized as sub-models), the listing displays the board bodies from each sub-model group separately. This facilitates the user in reviewing layer properties for each ECAD sub-model.

Modifying the layer properties

The thickness of PCB, metal and dielectric material can be modified from the layer definition.

SimLab will classify and list the dielectric and metal materials based on the value of electrical resistivity at reference temperature under Electrical properties. If the value is less than 1e-3 Ω-m , the material is metal, else it is a dielectric material.

Simplified PCB

  1. By using "Simplify PCB layers as a single body" a single simplified PCB body can be created.
  2. A duplicate model with name _simplified will be created, the simplified PCB along with the copy of the components will be available in this new model.
    • In case if "Replace existing PCB" is used, the simplified PCB will be created in the same model, replacing the existing PCB layers.

  3. Users can adjust the mass of the simplified PCB using adjust mass toggle and specify the target mass if the computed mass of the PCB is not satisfactory. The density of the PCB is adjusted based on the value specified in target mass. If adjust mass is not used, it will compute the density from computed mass. Adjust mass facility is not supported for manual entry of PCB data.
  4. In the case of a transformed ECAD model (where the thickness of the ECAD model is not along the Z-Axis), metal content is computed according to its orientation. However, the orthotropic material properties will be adjusted to match its orientation only if the SIMLAB_TRANSFORM_MATERIAL_INFO env is set to TRUE. Also, the simplified PCB will be created in the respective orientation.

Homogeneous material approximation

Using "Create and assign equivalent material" a homogeneous equivalent PCB material can be created and assigned to the simplified PCB.

Layer Properties

To compute any layer material parameters for any layer i, we can use rule of mixtures as follows:

Peffi = Pm * vm + Pd * vd

Where,
Pm Material parameter of metal
vm Metal fraction
Pd Material parameter of dielectric
vd Dielectric fraction which is vd = 1 - vm

Equivalent Properties

After computing the layer properties,the equivalent material parameters are computed by using the metal layout approach. The equivalent material properties can be approximated as either orthotropic or isotropic. The Isotropic material model can be used for fatigue analysis.

Orthotropic approximation

From the metal layout approach, the following relations are derived to compute the material parameters.

General properties
  • Density
  • Reference temperature = 295.15K
Mechanical properties
  • Young's modulus (X,Y,Z) direction
  • Poisson's ratio (XY,YZ,XZ) direction
  • Shear modulus (XY,YZ,XZ) direction
Thermal properties
  • Thermal expansion (X,Y,Z) direction
  • Thermal conductivity (X,Y,Z) direction
  • Specific heat
Electrical properties
  • Electrical resistivity
  • Temperature coefficient at resistance

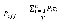
Isotropic approximation

The effective or equivalent properties are found out by weighted average as follows:

Pi Any material parameter say Young's modulus, density, thermal conductivity so on at Layer i
ti Thickness at Layer i
T Total thickness of PCB

Bending modulus computation:

Equivalent bending modulus of the PCB can be calculated based on the given layer properties. Bending modulus is computed by following relation,

Manual entry of Layer information

If the selected model is not an ECAD model, SimLab allows to enter the data in tabular form and allows to create equivalent material from the entered data.

Export and Import:

  • For ECAD models with PCB information, Export of PCB information in CSV file is supported.
  • For Manual entry of PCB layer information, Import and Export of CSV file is supported.

Sample CSV file:LayerInformation.csv