Computed Results

SimLab computes the list of results for tensor components.

Principal

For tensor, the three principals are obtained as the roots of the cubic equation for solids.

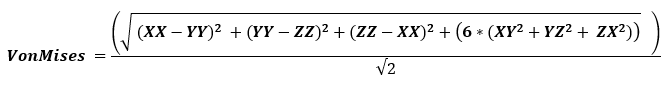
Von Mises

Von Mises result value is calculated from the Normal and Shear values.

Signed Von Mises

The sign of the signed von Mises is determined by the sign of that principal which has the biggest absolute value.

Tresca

Computed as the maximum of the following principal values.

abs (Max Principal – Mid Principal), abs (Max Principal – Min Principal), abs (Mid Principal – Min Principal)

Triaxiality

Triaxiality is the fraction of Pressure and VonMises.

Triaxiality= (-pressure)/VonMises

Max Shear

The maximum shear stress/strain is

Max Shear = abs (Max Principal – Min Principal) * 0.5

Intensity

Intensity is the absolute difference between Major and Minor principal stresses.

Intensity = abs (Max Principal – Min Principal)

Pressure

The pressure is generated by the average of the 3 normal stresses.

Pressure = (XX + YY + ZZ) / 3.0

Absolute Max Principal

The largest of the three principal stresses or strains in absolute terms is considered as absolute Max Principal.