Circuit Model
Introduction
The Circuit Model panel, shown below, specifies the ECM parameters for an individual battery.

Description
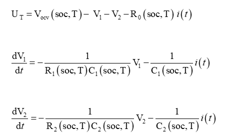
In the ECM approach, the electric behavior e.g. the voltage-current response, is modelled using a phenomenological electric circuit approach. For example, in a 2nd order ECM (see circuit diagram above), i.e. two RC pairs, the governing set of ODEs is given by,

Where is the terminal voltage, soc is the state of charge, T is the temperature, is the open circuit voltage, is the ohmic resistance, and are the polarization resistances of the first and second RC pairs respectively. and are the polarization capacitances of the first and second RC pairs respectively, is the input current, and t is the time.
The output terminal voltage is therefore dependent on the input current and the ECM parameters( and ) which can depend on both the state of charge and temperature.
The sign convention dictates that current is positive during discharge.
Type
- First Order ECM
ECM with a single ohmic resistance in series with one parallel RC pair to represent the dynamic voltage transients (or diffusion voltages).
- Second Order ECM
ECM with a single ohmic resistance in series with two parallel RC pairs to represent the dynamic voltage transients (or diffusion voltages)
- Third Order ECM
ECM with a single ohmic resistance in series with three parallel RC pairs to represent the dynamic voltage transients (or diffusion voltages)
The capacity of a battery cell. The coulomb value will be exported as Ah (Amp-hr).
Open Circuit VoltageOpen circuit voltage is the voltage established between positive and negative terminals when the current is zero (i.e. the circuit is open). The type includes Constant, Linear and Bilinear, whereas Constant is a constant open circuit voltage, for Linear, a table can be created which defines the state of charge (soc) vs voltage plot values. For Bilinear, Voltage is specified as a function of both SOC and temperature.
Ohmic ResistanceOhmic resistance in the ECM model represents the Internal resistance of battery components. The type includes Constant, Linear and Bilinear, whereas Constant is a constant ohmic resistance, for Linear, a table can be created which defines the state of charge (soc) vs resistance plot values. For Bilinear, resistance is specified as a function of both SOC and temperature.
Polarization InputsPolarization resistance and capacitance in the ECM model, describe the dynamic behavior of the battery (e.g. ion transport and charge transfer).

Check box to enable fitting of HPPC or GITT experimental data. Summary of this tool is provided in the section: ECM Parameter Fitting.
Entropic Heat CoefficientThe entropic heat coefficient is defined as the derivative of the open-circuit potential with respect to temperature. It represents the reversible heat generation within a battery cell. The coefficient can be modelled in several ways: Constant, Linear, or Bilinear. In the Linear model, it is a function of the state of charge (SOC), while in the Bilinear model, it depends on both SOC and temperature.
