Define Orthotropic Material Properties

Defines the material properties for orthotropic behavior in terms of engineering constants.

Format

Figure 1.


Example

Figure 2.


Comments

  1. Orthotropic materials have three mutually perpendicular planes of symmetry in their material properties. The stress-strain relation for orthotropic linear elastic materials can be written as follows.
    ε ¯ ¯ = S ¯ ¯ σ ¯ ¯ MathType@MTEF@5@5@+= feaahqart1ev3aaatCvAUfeBSjuyZL2yd9gzLbvyNv2CaerbuLwBLn hiov2DGi1BTfMBaeXatLxBI9gBaerbd9wDYLwzYbItLDharqqtubsr 4rNCHbGeaGqiVu0Je9sqqrpepC0xbbL8F4rqqrFfpeea0xe9Lq=Jc9 vqaqpepm0xbba9pwe9Q8fs0=yqaqpepae9pg0FirpepeKkFr0xfr=x fr=xb9adbaqaaeGaciGaaiaabeqaamaabaabaaGcbaWaaWqaaeaacq aH1oqzaaGaeyypa0ZaaWqaaeaacaWGtbaaamaameaabaGaeq4Wdmha aaaa@3B6E@
    Where the compliance matrix S ¯ ¯ MathType@MTEF@5@5@+= feaahqart1ev3aaatCvAUfeBSjuyZL2yd9gzLbvyNv2CaerbuLwBLn hiov2DGi1BTfMBaeXatLxBI9gBaerbd9wDYLwzYbItLDharqqtubsr 4rNCHbGeaGqiVu0Je9sqqrpepC0xbbL8F4rqqrFfpeea0xe9Lq=Jc9 vqaqpepm0xbba9pwe9Q8fs0=yqaqpepae9pg0FirpepeKkFr0xfr=x fr=xb9adbaqaaeGaciGaaiaabeqaamaabaabaaGcbaWaaWqaaeaaca WGtbaaaaaa@36DC@ is given by,
    Figure 3.


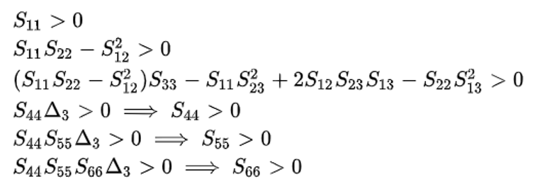
    The compliance matrix is symmetric and must be positive definite (real numbers for every non-zero value). This implies, from Sylvester’s criterion, that all the principal minors of the matrix are positive.
    Figure 4.


    Then,
    Figure 5.


    The above set of conditions implies that,
    Figure 6.


    If the above conditions are not satisfied, an error occurs.
    Figure 7.


  2. The thermal expansion coefficient (along X, Y, Z) and thermal properties are given if required for thermal simulations.