caxis

Sets/gets the colorbar range.

Syntax

caxis([cmin cmax])

caxis('auto')

caxis(hAxes, ...)

[cmin cmax] = caxis(...)

Inputs

cmin, cmax
Lowest and highest ranges.
Type: double | integer
Dimension: scalar
'auto'
Option 'auto' will reset the color axis range to fit the color data of the plotted surface.
Type: string
Dimension: scalar
hAxes
Handle of the axes.
Type: double | integer
Dimension: scalar

Outputs

cmin, cmax
Current range of the colorbar.

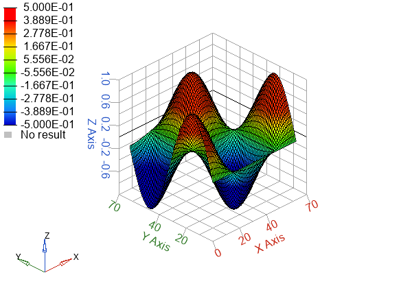
Example

Simple caxis example:
cla;
x=[0:0.1:2*pi];
y=x;
z=sin(x')*cos(y);
surf(z);
caxis([-0.5 0.5]);
Figure 1. Set colorbar range using caxis command

Comments

cmin, cmax specify the values assigned to the first and last color in the colormap. Data values lower or higher than cmin/cmax will be assigned the lowest/highest color of the colormap, respectively.