caxis

Sets/gets the colorbar range.

Syntax

caxis([cmin cmax])

caxis('auto')

caxis(hAxes, ...)

[cmin cmax] = caxis(...)

Inputs

cmin, cmax
Lowest and highest ranges.
Type: double | integer
Dimension: scalar
'auto'
Option 'auto' will reset the color axis range to fit the color data of the plotted surface.
Type: string
Dimension: scalar
hAxes
Handle of the axes.
Type: double | integer
Dimension: scalar

Outputs

cmin, cmax
Current range of the colorbar.

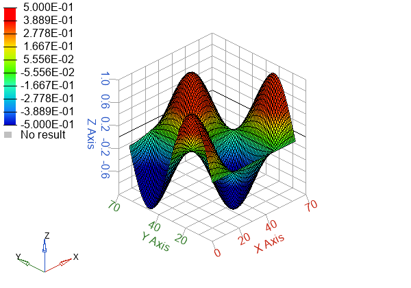
Example

Simple caxis example:
cla;
x=[0:0.1:2*pi];
y=x;
z=sin(x')*cos(y);
surf(z);
caxis([-0.5 0.5]);
1. Set colorbar range using caxis command

Comments

cmin, cmax specify the values assigned to the first and last color in the colormap. Data values lower or higher than cmin/cmax will be assigned the lowest/highest color of the colormap, respectively.