定义正交各向异性材料属性
用工程常数定义材料的正交各向异性属性。
格式

示例

备注
- 正交各向异性材料具有三个相互垂直的对称面。正交各向异性线弹性材料的应力-应变关系可表示为:其中,柔度矩阵为 ,
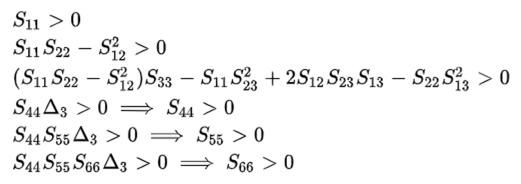
柔度矩阵是对称的,必须是正定的(每个非零值都是实数)。这意味着,根据西尔维斯特准则,矩阵的所有主副矩阵都为正。图 3. 
然后,图 4. 
上述条件意味着,图 5. 
图 6. 
如果不满足上述条件,就会发生错误。图 7. 
- 如果热仿真需要,还可以给出热膨胀系数(沿 X、Y、Z 方向)和热属性。
用工程常数定义材料的正交各向异性属性。






