Design Variables
最適化プロセスで最初の手順は、モデルでの設計変数(DV)の特定です。
| 設計可能なエンティティ | 設計可能なデータメンバー |
|---|---|
| Point | x、y、z (座標値) |
| Body(剛体および質点) | mass、Ixx、Iyy、Ixy、Ixz、Iyz (質量および慣性) |
| SpringDamper | k、kt、c、ct、f、t、len、ang (剛性、減衰、初期荷重、および自由長) |
| Bushing | kx、ky、kz、ktx、kty、ktz、cx、cy、cz、ctx、cty、ctz、fx、fy、fz、tx、ty、tz (剛性、減衰、初期荷重) |
| Force | Fx、Fy、Fz、Tx、Ty、Tz、F、T (成分) |
| Dataset** | value (実数) |
注: **この一覧にある他のエンティティで使用しているDatasetのみが設計可能です。
MotionViewでは、式を使用したパラメトリックな定義が可能で、そこでは既存の数量、既存の自由パラメータ(以降で説明します)、既存の式を使用して新しい数量を定義できます。従属数量(他の数量を使用してパラメータで定義する数量)は、DVとして定義できません。DVとして選択できるのは、“独立”数量のみです。
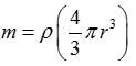
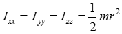
例えば、球の質量は、その半径(r)と密度(ρ)の2つのパラメータの関数として定義できます。このようにモデルを定義すると、その球の質量や慣性をDVとして選択することはできなくなります。その理由を以下で説明します:
- 球の質量:

- 球の慣性:

従属数量をDVとして選択すると、以下のようなメッセージが表示されます。これは、変数が従属数量であることから、アクションが完了しないことを示しています。図 1.


このウィザードの‘Design Variables’の手順で、最適化スタディにDVを追加できます。さまざまなエンティティのタブで選択操作を実行することにより、モデルのエンティティのデータメンバーをDVとして選択できます。各タブには、現在のモデルに存在する特定のタイプのエンティティが一覧表示されています。図 2.


追加したDVは、最適化スタディの定義でいつでも変更や削除が可能です。