直交異方性材料のプロパティの定義
直交異方性の材料特性を工学定数で定義します。
形式

例

コメント
- 直交異方性材料は、その材料特性において、相互に垂直な3つの対称面を持ちます。直交性線形弾性材料の応力-歪み関係は、以下のようになります。ここで、コンプライアンス行列 は、次式で与えられる、
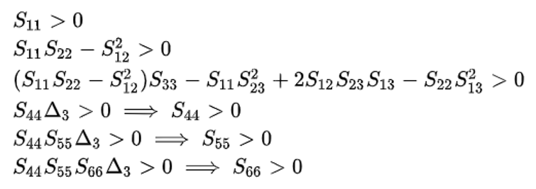
コンプライアンス行列は対称であり、正定値(非ゼロ値ごとに実数)でなければならなりません。これは、Sylvester基準から、行列の主小行列式はすべて正であることを意味します。Figure 3. 
したがって:Figure 4. 
上記の一連の条件は、次のことを意味します、Figure 5. 
Figure 6. 
上記の条件を満たさない場合は、エラーとなります。Figure 7. 
- 熱解析に必要な場合は、熱膨張係数(X、Y、Zに沿った)、熱プロパティを与えます。