フィードバックトラクションコントローラー – PIDコントローラー
PID(Proportional-Integral-Derivativ: 比例・積分・微分)コントローラーは、エラー、積分エラー、および、希望する車両応答と実際の車両応答との間のエラーの変化率を使って車両入力を計算するフィードバックコントローラーです。
PIDコントロールを使用するには、比例(KP)、積分(KI)、および微分(KD) ゲイン、希望する応答のタイプ(例えば前後速度または加速度)を入力し、希望する応答(例えばスピードvs時間のテーブル)を参照します。Altair Driverはここで、PIDコントロール則を適用し、スロットルおよびブレーキの信号を計算します。
アルゴリズム
| パラメータ | |
|---|---|
| 要求信号 | U |
| フィードバックまたは応答信号 | X |
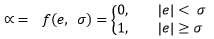
| エラー | e |
| 比例ゲイン | Proportional gain |
| 微分ゲイン | Derivative gain |
| 積分ゲイン | 積分ゲイン |
| 積分コントロールフラグ | 積分コントロールフラグ |
| 積分帯 | Integral band |
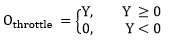
| Driverスロットル出力 | O throttle |
| Driverブレーキ出力 | O brake |
| 駆動比 | ![]() |
| ギア比 | ![]() |





タイプ
- VELOCITY CONTROL – 要求信号は、時間または移動距離を独立変数とする速度プロファイル
- ACCELERATION CONTROL – 要求信号は、独立変数として時間または移動距離を含んだ加速度プロファイル
- 要求信号は、定数、式、ユーザー定義のカーブ、またはMotionView信号であることが可能(開ループコントローラーと同様)
[LONG_PID_CONTROLLER]
TAG = 'PID'
TYPE = 'FOLLOW_VELOCITY'
DEMAND_SIGNAL = 'DEMAND_SPEED'
I_ACTIVE_BAND = 2
KP = 100
KD = 20
KI = 10
INITIAL_ERROR = -5
| [FEEDFORWARD LONGITUDINAL CONTROLLER] | ||
|---|---|---|
| TAG | 属性-文字列 | 必須 <PID > |
| 属性-文字列 | オプション
|
|
| DEMAND_SIGNAL | 属性-文字列 | 必須 要求信号を含んだブロック名。使用可能な全ての方法については、要求信号ブロックのトピックをご参照ください。 |
| I_ACTIVE_BAND | 属性-実数 | オプション
存在しない場合:
|
| KP | 属性-実数 | オプション
存在しない場合:
|
| KD | 属性-実数 | オプション
存在しない場合:
|
| KI | 属性-実数 | オプション
存在しない場合:
|
| INITIAL_ERROR | 属性-実数 | オプション
存在しない場合:
|

