Simulation and Analysis of the Static Angle of Repose test
This section provides instructions for running a simulation of the static Angle of Repose test and extracting the relevant data automatically using the files provided.
Introduction
The test consists of discharging a granular material onto a flat surface and measuring the angle the resulting pile makes with the surface as shown in Figure 1. A deck is provided for a common lifting cylinder test shown in Figure 2. However, the simulation and analysis methodologies outlined in this section are applicable to any conical pile of granular material.


Prerequisites
The simulation and analysis procedure described in this section requires EDEM version 2022 or later. The Calibration Kit examples are installed in the . Copy the Calibration kit and examples to a processing folder before they are configured and run.
The analysis described in this section uses EDEMpy. For more information about EDEMpy, see the EDEM Help documents.
Running Simulations and Post-processing Results
- Obtain the Angle of Repose along with the simulation input parameters
automatically using the
Static_angle_of_repose_analyst_v3.pyscript. - Modify the EDEM test deck to match the experimental setup.
The post-processing script utilizes the EDEMpy library to locate all EDEM decks in the folder containing the script and sub folders. Finally, it generates reports and figures with all the relevant data.
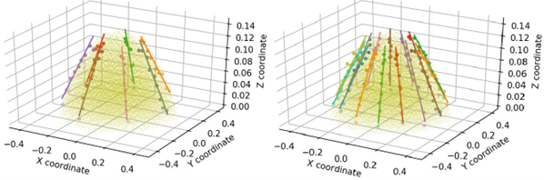
The Angle of Repose is determined by defining a radial array of bins, identifying the highest particle in each bin and conducting a least-squares linear fit to the coordinates of the center of mass of these particles as shown in Figure 1. You can take multiple measurements as shown in Figure 3. Record the average value, standard deviation, and Coefficient of Variance along with the raw data for each measurement.

The analysis settings are defined in the
Static_angle_of_repose_settings.txt file, as shown in Figure 4.
The analysis is performed at the simulation time specified in the settings file. For
accurate results, the analysis domain must be limited to the region where the Angle
of Repose is approximately stable as shown in Figure 1. This is achieved by changing
the values of the high and low domain limits.
The domain limits must be conservatively selected on the basis of the steepest conical pile in the calibration exercise and can then be applied for all other cases. The bin size must be set between 3-4 average particle diameters as shown in Figure 1. Select the number of radial measurements so that there is no overlap between bins. Typically, eight measurements ensure that this condition is met while producing a sufficiently accurate averaged value for the Angle of Repose. The analysis can be applied to any simulated conical granular pile, only if the pile is produced near the origin of the simulation coordinate system.

You can post-process multiple simulation decks with the script by arranging the files into one of the two configurations as shown in Figure 5. The second configuration is recommended, as it allows for individual settings files for each EDEM deck, and therefore post-processing of different types of tests can be done simultaneously. In the first configuration, a single settings file is read for post-processing all decks.
Static_angle_of_repose_analyst_v3.py script:- Arrange the files as shown in Figure 4.
- Open a blank or existing EDEM simulation file, and go to .
- Go to and then select the
Static_angle_of_repose_analyst_v3.pyscript.Reports and graphs will be generated in the master folder. Only complete simulations with the corresponding settings files will be post-processed. Otherwise the script will produce error messages as shown in Figure 7, and then move to the next simulation in the folder tree.Note: All simulation files must have unique folder names and simulation names. If the simulation names are identical, the results report will be overwritten.Figure 5. Possible error messages 

Script Version changes
Version 3 of the Static Angle of Repose analysis script is designed to work with
EDEM version 2022.0 (and later) and EDEMpy. This EDEMpy version
includes a change where creatordata is indexable, and all
references to creatordata have been replaced with
creatordata[0].